新书推介:《语义网技术体系》
作者:瞿裕忠,胡伟,程龚
   XML论坛     W3CHINA.ORG讨论区     计算机科学论坛     SOAChina论坛     Blog     开放翻译计划     新浪微博  
 
  • 首页
  • 登录
  • 注册
  • 软件下载
  • 资料下载
  • 核心成员
  • 帮助
  •   Add to Google

    >> 研友的交流园地,讨论关于计算机考研的方方面面。
    [返回] 中文XML论坛 - 专业的XML技术讨论区计算机理论与工程『 计算机考研交流 』 → [原创]一道05北大高数真题讨论 查看新帖用户列表

      发表一个新主题  发表一个新投票  回复主题  (订阅本版) 您是本帖的第 3965 个阅读者浏览上一篇主题  刷新本主题   树形显示贴子 浏览下一篇主题
     * 贴子主题: [原创]一道05北大高数真题讨论 举报  打印  推荐  IE收藏夹 
       本主题类别:     
     cpkug 帅哥哟,离线,有人找我吗?
      
      
      等级:大三暑假(ITELS考了7分!)
      文章:124
      积分:877
      门派:XML.ORG.CN
      注册:2007/7/28

    姓名:(无权查看)
    城市:(无权查看)
    院校:(无权查看)
    给cpkug发送一个短消息 把cpkug加入好友 查看cpkug的个人资料 搜索cpkug在『 计算机考研交流 』 的所有贴子 引用回复这个贴子 回复这个贴子 查看cpkug的博客楼主
    发贴心情 [原创]一道05北大高数真题讨论

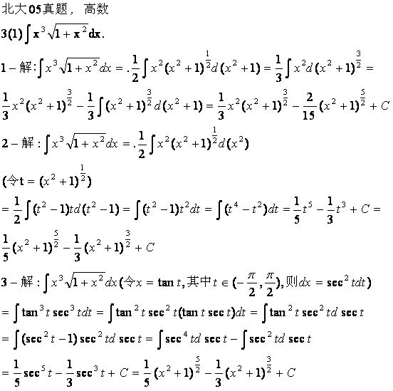
    题目源自:
          北京大学2005年研究生入学考试试题   考试科目:计算机数学基础,第一大题,第3小题(1)

    用第一种方法解出的结果与后两种不同,不知为什么?

    请各位高手帮忙看看怎么回事吧?


    此主题相关图片如下:
    按此在新窗口浏览图片


       收藏   分享  
    顶(0)
      




    点击查看用户来源及管理<br>发贴IP:*.*.*.* 2008/8/14 0:05:00
     
     Rahxephone 帅哥哟,离线,有人找我吗?
      
      
      等级:大一(猛啃高等数学)
      文章:24
      积分:190
      门派:XML.ORG.CN
      注册:2006/3/31

    姓名:(无权查看)
    城市:(无权查看)
    院校:(无权查看)
    给Rahxephone发送一个短消息 把Rahxephone加入好友 查看Rahxephone的个人资料 搜索Rahxephone在『 计算机考研交流 』 的所有贴子 引用回复这个贴子 回复这个贴子 查看Rahxephone的博客2
    发贴心情 
    .....这个结果是一样的吧....
    只是展开的形式不同.... 类似于: (x + 1)*(x + 1) = x(x + 1) + x + 1.....
    你把两个式子相减看看orz
    点击查看用户来源及管理<br>发贴IP:*.*.*.* 2008/8/14 9:43:00
     
     forandom2 帅哥哟,离线,有人找我吗?
      
      
      等级:大二期末(数据结构考了98分!)
      文章:63
      积分:446
      门派:XML.ORG.CN
      注册:2008/4/20

    姓名:(无权查看)
    城市:(无权查看)
    院校:(无权查看)
    给forandom2发送一个短消息 把forandom2加入好友 查看forandom2的个人资料 搜索forandom2在『 计算机考研交流 』 的所有贴子 引用回复这个贴子 回复这个贴子 查看forandom2的博客3
    发贴心情 
    第一个答案和其余的两个是一样的。
    把第一个答案1/3后面那个x^2拆成x^2+1-1就是了。
    点击查看用户来源及管理<br>发贴IP:*.*.*.* 2008/8/14 9:53:00
     
     cpkug 帅哥哟,离线,有人找我吗?
      
      
      等级:大三暑假(ITELS考了7分!)
      文章:124
      积分:877
      门派:XML.ORG.CN
      注册:2007/7/28

    姓名:(无权查看)
    城市:(无权查看)
    院校:(无权查看)
    给cpkug发送一个短消息 把cpkug加入好友 查看cpkug的个人资料 搜索cpkug在『 计算机考研交流 』 的所有贴子 引用回复这个贴子 回复这个贴子 查看cpkug的博客4
    发贴心情 
    明白了,非常感谢!
    点击查看用户来源及管理<br>发贴IP:*.*.*.* 2008/8/14 22:02:00
     
     GoogleAdSense
      
      
      等级:大一新生
      文章:1
      积分:50
      门派:无门无派
      院校:未填写
      注册:2007-01-01
    给Google AdSense发送一个短消息 把Google AdSense加入好友 查看Google AdSense的个人资料 搜索Google AdSense在『 计算机考研交流 』 的所有贴子 访问Google AdSense的主页 引用回复这个贴子 回复这个贴子 查看Google AdSense的博客广告
    2025/12/18 14:49:06

    本主题贴数4,分页: [1]

    管理选项修改tag | 锁定 | 解锁 | 提升 | 删除 | 移动 | 固顶 | 总固顶 | 奖励 | 惩罚 | 发布公告
    W3C Contributing Supporter! W 3 C h i n a ( since 2003 ) 旗 下 站 点
    苏ICP备05006046号《全国人大常委会关于维护互联网安全的决定》《计算机信息网络国际联网安全保护管理办法》
    54.688ms